题海
让大学四年没有难题
首页
搜题
登陆
题目详情
单选题
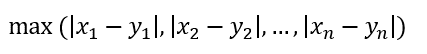
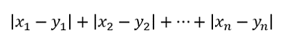
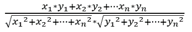
以下计算距离的公式中,计算欧氏距离的是()
A.
B.
C.
D.
查看答案
学科:
[共享课]大数据工具应用
时间:
2023-05-08 16:13:26
相关题目
相关作业
题目1
单选题
以下计算距离的公式中,计算欧氏距离的是()
A. <img src="https://tihai-oss-cloud.itihey.com/img/e708b0ac2380b8863f1e3d24e5aedf61.png">
B. <img src="https://tihai-oss-cloud.itihey.com/img/e7824646454c740dceefa16feca3517b.png">
C. <img src="https://tihai-oss-cloud.itihey.com/img/683b67e75ed47d76c847661fab448403.png">
D. <img src="https://tihai-oss-cloud.itihey.com/img/79955ce7bb742ee8c9489c7881b06e70.png">
题目2
单选题
线性支持向量机的最大化间隔正确的描述是()
A. <img src="https://tihai-oss-cloud.itihey.com/img/e4ecf2f514945b10e8b4d4bbbcf77864.png">
B. <img src="https://tihai-oss-cloud.itihey.com/img/2d89606e1c6466282c1e5faa366a157b.png">
C. <img src="https://tihai-oss-cloud.itihey.com/img/2113d76b8d15515bd8fcc4cc8b6f9edd.png">
D. <img src="https://tihai-oss-cloud.itihey.com/img/0ea29eab6eea9930b3df44eaef269155.png">
题目3
单选题
以下描述错误的是()
A. SVM对噪声不具备鲁棒性
B. SVM寻找具有最小边缘的超平面,因此经常被称为最小边缘分类器
C. k-最近邻算法(K-NN)是一种消极学习器
D. 聚类分析可以看作是一种非监督的分类
题目4
单选题
<img src="https://tihai-oss-cloud.itihey.com/img/4455e75818269a21f52e795b70bb4f0b.png">
A. 0或1
B. 0或-1
C. 1或-1
D. true或false
题目5
单选题
使用IBk分类器和SMO分类器对vote.arff分别进行分类,由其输出的结果可知()
A. IBk正确分类百分比比SMO大
B. IBk对republican的分类正确率比SMO大
C. SMO对democrat的分类正确率比IBk小
D. SMO对democrat和republican的分类正确率都比IBk大
题目6
单选题
下列叙述错误的是()
A. 逻辑回归是一种监督机器学习算法
B. 逻辑回归主要用于回归分析
C. 逻辑回归采用Sigmoid函数对样本数据进行拟合,以构建回归模型
D. 逻辑回归预测事件发生的概率并分析导致事件发生的因素
题目7
单选题
Logistic函数的定义域是()
A. (-INF, +INF)
B. [0, 1]
C. (0, +INF)
D. (-INF, 1)
下载
题海APP
拍照搜题更快捷
海量题库
无搜索限制
快捷拍照搜题
扫描他!然后带走我~