题海让大学四年没有难题
白天模式登陆

题目详情

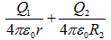
单选题 【单选题】如图所示,两个均匀带电的同心球面,内、外半径分别为R1、R2,内球面带电量为Q1,外球面带电量为Q2,设无穷远处为电势零点,则如图所示, 在内球面内,距离中心为r处的p点电势为:

A.

B.

C.

D.

学科:大学物理A1-电子56-2022级

时间:2023-06-19 12:19:26

Copyright © 2022 津ICP备2021001502号