题海让大学四年没有难题
白天模式登陆

题目详情

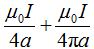
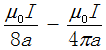
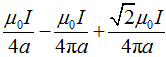
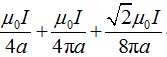
单选题 【单选题】将一根载有电流为I的无限长导线在一平面内弯成如下图所示的形状,其中有一段是半径为a的1/4圆弧,则圆心O点的磁感应强度大小为( ).

A.

B.

C.

D.

学科:大学物理A1-电子56-2022级

时间:2023-06-19 12:19:26

Copyright © 2022 津ICP备2021001502号